渦街流量計在指定的流動條件下,一部分流體動能會轉化為流體振動,其振動頻率與流速(流量)有確定的比例關係,依據這種原理工作的流量計稱為流體振動流量計。目前流體振動流量計有三類:渦街流量計、旋進(旋渦進動)流量計和射流流量計。渦街流量計具有以下一些特點:
①輸出為脈衝頻率,其頻率與被測流體的實際體積流量成正比,不受流體組分、密度、壓力、溫度的影響;
②測量範圍寬,一般範圍度可達10:1以上;
③精度為中上水平;
④無可動部件,可靠性高;
⑤結構簡單牢固,安裝方便,維護費較低;
⑥應用範圍廣泛,可適用液體、氣體和蒸汽。
工作原理
在流體中設置旋渦發生體(阻流體),從旋渦發生體兩側交替地產生有規則的旋渦,這種旋渦稱為卡曼渦街(見圖1),旋渦列在旋渦發生體下遊非對稱地排列。根據卡曼渦街原理,有如下關係式:
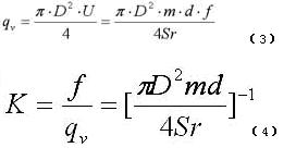
式中,m為旋渦發生體兩側弓形麵積與管道橫截麵麵積之比;D為表體通徑;d為旋渦發生體迎麵寬度;f為旋渦的發生頻率;U1為旋渦發生體兩側平均流速;Sr為斯特勞哈爾數;U為被測介質流的平均速度。

圖1 卡曼渦街
管道內體積流量qv為:

式中, K為流量計的儀表係數,單位為脈衝數/m3。
K除與旋渦發生體、管道的幾何尺寸有關外,還與斯特勞哈爾數有關。斯特勞哈爾數為無量綱參數,它與旋渦發生體形狀及雷諾數有關,圖2為圓柱狀旋渦發生體的斯特勞哈爾數與管道雷諾數的關係圖。由圖2可見,在ReD=2×104~7×106的範圍內,Sr可視為常數,這是儀表正常工作範圍。當測量氣體流量時,渦街流量計的流量計算式為:

式中,qVn、qV分別為標準狀態下(0℃或20℃,101.325kPa)和工況下的體積流量; Pn、P分別為標準狀態下和工況下的絕對壓力;Tn、T分別為標準狀態下和工況下的熱力學溫度;Zn、Z分別為標準狀態下和工況下氣體壓縮係數。

圖2 斯特勞哈爾數與雷諾數關係曲線
由式(4)kejian,wojieliuliangjishuchudemaichongpinlvxinhaobushouliutiwuxinghezufenbianhuadeyingxiang,jiyibiaoxishuzaiyidingleinuoshufanweineijinyuxuanwofashengtijiguandaodexingzhuangchicundengyouguan。danshizaiwuliaopinghengjinengyuanjiliangzhongxujiancezhiliangliuliang,zheshiliuliangjiyingtongshijiancetijiliuliangheliutimidu,liutiwuxinghezufenjiuhuiduiliuliangjiliangchanshengzhijieyingxiang。
渦街流量計由傳感器和轉換器兩部分組成,如圖3所示。傳感器包括旋渦發生體(阻流體)、檢測元件、儀表表體等;轉換器包括前置放大器、濾波整形電路、DAC、輸出接口電路、端子、支架和防護罩等。近年來智能式流量計還把微處理器、顯示通信及其他功能模塊裝在轉換器內。

圖3 渦街流量計
在現場中的應用
1 現場應用
渦街流量計適用的流體廣泛,但不適用於低雷諾數(ReD≤2×104)liuti。yinweizaidileinuoshushi,sitelaohaershusuizheleinuoshuerbian,yibiaoxianxingdubiancha。tongshi,hangutiweilideliutiduixuanwofashengtidechongshuahuichanshengzaosheng,qihanyoudeduanxianweiruochanraozaixuanwofashengtishangjianggaibianyibiaoxishu。
渦街流量計在混相流體中的應用如下:
①可用於含分散、均勻的微小氣泡,但容積含氣率應小於7%~10%的氣、液兩相流,若容積含氣率超出2%就應對儀表係數進行修正。
②可用於含分散、均勻的固體微粒,含量不大於2%的氣固、液固兩相流。
③可用於互不溶解的液液(如油和水)兩組分流等。
脈mai動dong流liu和he旋xuan轉zhuan流liu會hui對dui渦wo街jie流liu量liang計ji產chan生sheng嚴yan重zhong影ying響xiang。如ru果guo脈mai動dong頻pin率lv與yu渦wo街jie頻pin率lv頻pin帶dai合he拍pai可ke能neng引yin起qi諧xie振zhen,破po壞huai正zheng常chang工gong作zuo和he設she備bei,使shi渦wo街jie信xin號hao產chan生sheng“鎖定(Lock-in)”現象,這時信號會固定於某一頻率。“鎖定”與脈動幅值、旋渦發生體形狀及堵塞比等有關。
渦街流量計的精度對於液體大致在±0.5%R~±2%R之間,對於氣體在±l%R~±2%R之間,重複性一般為 0.2%~0.5%。由於渦街流量計的儀表係數較低,頻率分辨率低,口徑愈大精度愈低,故儀表口徑不宜過大(DN300以下)。
範圍度寬是渦街流量計的特點,但重要的一點是量程下限的流量數值。一般液體平均流速下限為0.5m/s,氣體為4~5m/s。渦街流量計的正常流量在正常測量範圍的1/2~2/3處。
渦街流量計的優點是儀表係數不受測量介質物性的影響,可以由一種典型介質推廣到其他介質上。但由於液、氣(qi)的(de)流(liu)速(su)範(fan)圍(wei)差(cha)別(bie)很(hen)大(da),導(dao)致(zhi)頻(pin)率(lv)範(fan)圍(wei)亦(yi)差(cha)別(bie)很(hen)大(da)。處(chu)理(li)渦(wo)街(jie)信(xin)號(hao)的(de)放(fang)大(da)器(qi)電(dian)路(lu)中(zhong),濾(lv)波(bo)器(qi)的(de)通(tong)帶(dai)不(bu)同(tong),電(dian)路(lu)參(can)數(shu)亦(yi)不(bu)同(tong),因(yin)此(ci),同(tong)一(yi)電(dian)路(lu)參(can)數(shu)不(bu)能(neng)用(yong)於(yu)測(ce)量(liang)不(bu)同(tong)介(jie)質(zhi)。
另外,氣體和液體的密度差別很大,而旋渦分離時產生的信號強度與密度成正比,因此信號強度差別亦很大。液、氣放大器電路的增益、觸發靈敏度等皆不相同,壓電電荷差別大,電荷放大器的參數也不相同。即使同為氣體(或液體、蒸汽),隨著介質壓力、溫度、密(mi)度(du)不(bu)同(tong),使(shi)用(yong)的(de)流(liu)量(liang)範(fan)圍(wei)不(bu)同(tong),信(xin)號(hao)強(qiang)度(du)亦(yi)不(bu)同(tong),電(dian)路(lu)參(can)數(shu)同(tong)樣(yang)要(yao)改(gai)變(bian)。因(yin)此(ci),一(yi)台(tai)渦(wo)街(jie)流(liu)量(liang)計(ji)不(bu)經(jing)硬(ying)件(jian)或(huo)軟(ruan)件(jian)修(xiu)改(gai),改(gai)變(bian)使(shi)用(yong)介(jie)質(zhi)或(huo)改(gai)變(bian)儀(yi)表(biao)口(kou)徑(jing)是(shi)不(bu)可(ke)行(xing)的(de)。
2 安裝注意事項
渦街流量計屬於對管道流速分布畸變、旋轉流和流動脈動等敏感的流量計,因此,對現場管道安裝條件應充分重視,嚴格遵照使用說明書執行。
渦街流量計可安裝在室內或室外。如果安裝在地井裏,為防止被水淹沒,應選用涎水型傳感器。傳感器在管道上可以水平、垂直或傾斜安裝,但測量液體和氣體時為防止氣泡和液滴的幹擾,要注意安裝位置(見圖4)。

圖4 測量含液體和含氣液體的流量儀表安裝
渦街流量計必須保證上、下遊直管段有必要的長度(見圖5)。

圖5 渦街流量計對上、下遊直管段長度的要求
在圖5中,a為一個90°彎頭,b 為同心擴管,c為同心收縮全開閥門,d為不同平麵兩個90°彎頭,e為調節閥半開閥門,f為同一平麵兩個90°彎頭。
傳感器與管道的連接如圖6所示,在與管道連接時要注意以下問題。

圖6 傳感器與管道的連接
① 上、下遊配管內徑D與傳感器內徑D’相同,其差異滿足下述條件: 0.95D≤D’≤1.1D;
② 配管應與傳感器同心,同軸度應小於0.05D’;
③ 密封墊不能凸入管道內,其內徑可比傳感器內徑大1~2mm;
④ 如需斷流檢查與清洗傳感器,應設置旁通管道(見圖7);

圖7 旁通管道示意圖
⑤ jianxiaozhendongduiwojieliuliangjideyingxiangyinggaizuoweiwojieliuliangjixianchanganzhuangdeyigetuchuwentilaiguanzhu。shouxian,zaixuanzechuanganqianzhuangchangsuoshijinliangzhuyibikaizhendongyuan;其次,采用彈性軟管連接在小口徑中可以考慮;第三,加裝管道支撐物是有效的減振方法。
電(dian)氣(qi)安(an)裝(zhuang)應(ying)注(zhu)意(yi)傳(chuan)感(gan)器(qi)與(yu)轉(zhuan)換(huan)器(qi)之(zhi)間(jian)采(cai)用(yong)屏(ping)蔽(bi)電(dian)纜(lan)或(huo)低(di)噪(zao)聲(sheng)電(dian)纜(lan)連(lian)接(jie),其(qi)距(ju)離(li)不(bu)應(ying)超(chao)過(guo)使(shi)用(yong)說(shuo)明(ming)書(shu)的(de)規(gui)定(ding)。布(bu)線(xian)時(shi)應(ying)遠(yuan)離(li)強(qiang)功(gong)率(lv)電(dian)源(yuan)線(xian),盡(jin)量(liang)用(yong)單(dan)獨(du)金(jin)屬(shu)套(tao)管(guan)保(bao)護(hu)。應(ying)遵(zun)循(xun)“一點接地”原則,接地電阻應小於10Ω。整體型和分離型都應在傳感器側接地,轉換器外殼接地點應與傳感器“同地”。
3 現場常見故障現象、原因及排除方法
渦街流量計有多種檢測方式,傳感器和測量電路差別也較大,但渦街流量計常見的故障有共性。
結語
在眾多的流量計中,渦街流量計的購置費低於質量式、電磁式、容積式等類型,而安裝、運行、維護費低於節流式、容積式、渦輪式等類型,是一種經濟性較好、比較實用的流量計。渦街流量計結構簡單牢固,安裝維護方便,尤其適用於冶煉廠、化工廠、輸油管道等工業現場的使用。
|