聯係方式 |
| 電話(市場部):0517-86851868 |
| |
| |
| (拓展部): |
| 傳真: |
節假日商務聯係電話:
何經理:
紀經理: |
| 郵編:211600 |
| 網址:http://007gupiao.cn/ |
| http://www.sukeyb.com/ |
| E-mail: |
| |
地址:江蘇省金湖縣工業園區環城西
路269號 |
|
|
 |
您現在的位置 > 首頁 > 行業新聞 > 蒸汽流量計測量原理介紹 |
 |
|
|
|
蒸汽流量計測量原理介紹 |
在蒸汽流量計量中,最常用的流量計是差壓式流量計和渦街流量計。
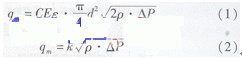
差(cha)壓(ya)式(shi)流(liu)量(liang)計(ji)的(de)理(li)論(lun)依(yi)據(ju)是(shi)伯(bo)努(nu)利(li)方(fang)程(cheng)和(he)流(liu)動(dong)連(lian)續(xu)性(xing)方(fang)程(cheng)。當(dang)流(liu)體(ti)流(liu)經(jing)節(jie)流(liu)裝(zhuang)置(zhi),使(shi)部(bu)分(fen)壓(ya)力(li)能(neng)轉(zhuan)換(huan)為(wei)動(dong)能(neng),產(chan)生(sheng)差(cha)壓(ya)信(xin)號(hao),而(er)這(zhe)一(yi)差(cha)壓(ya)與(yu)流(liu)量(liang)的(de)平(ping)方(fang)成(cheng)正(zheng)比(bi),其數學模型為: 
式中:qm為蒸汽質量流量,T/h; C為流出係數;ε為可膨脹性係數;d為節流件孔徑,m; ρ為節流件蒸汽密度,kg/m3;△P為節流件上下遊差壓,Pa;E為漸近速度係數。
wojieliuliangjidelilunyijushiliutizhendangyuanli。liutizaiguandaozhongjingguowojieliuliangbiansongqishi,zaisanjiaozhudexuanwofashengtihoushangxiajiaoti,chanshengzhengbiyuliusudeliangliexuanwo,xuanwodeshifangpinlvyuliuguoxuanwofashengtideliutipingjunsudujixuanwofashengtitezhengkuanduyouguan,keyongyixiagongshibiaoshi:
式中:f為旋渦的釋放頻率,Hz;k為流量係數,l/L; ρ為蒸汽密度,kg/m3;ν為流過旋渦發生體的流體平均速度,m/s; d為旋渦發生體特征寬度,m;St為斯特羅哈數,無量綱,當雷諾數Re在102~105範圍內,St值約為0.2。
從式(2)和式(4)可以看出,蒸汽質量流量與蒸汽密度直接相關。因此,必須對流量計進行溫度(Pt100鉑電阻)或者壓力(壓力變送器)補償,可顯示飽和蒸汽的瞬時質量流量、累計流量以及溫度、壓力。Pt100鉑bo電dian阻zu測ce量liang得de到dao的de介jie質zhi溫wen度du信xin號hao和he壓ya力li變bian送song器qi測ce量liang得de到dao的de介jie質zhi壓ya力li信xin號hao作zuo為wei密mi度du補bu償chang信xin號hao,渦wo街jie流liu量liang計ji對dui蒸zheng汽qi流liu量liang進jin行xing密mi度du修xiu正zheng。對dui飽bao和he蒸zheng汽qi,蒸zheng汽qi密mi度duρ隻與壓力P有關,即ρ=ρ(p);而對於過熱蒸汽,蒸汽密度ρ與壓力P的關係和溫度T有關,即ρ=ρ(p,T)。
|
|